• Предмет: Математика
  • Автор: Famicom
  • Вопрос задан 9 лет назад

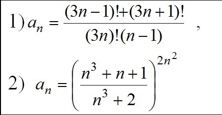
Найти lim для указанных последовательностей
           n → ∞

Приложения:

Ответы

Ответ дал: HSS9860
0
Посмотрите предложенное решение.
Приложения:
Ответ дал: Famicom
0
Как вы решили первое? Откуда числа 5! 8! и т.д. ?
Ответ дал: HSS9860
0
Необязательная часть для переписывания. Это было показано, что происходит, если проводить сокращения по делению среди факториалов. С другой стороны, в условии сказано, что это последовательности.
Ответ дал: Famicom
0
Осознал
Ответ дал: Famicom
0
Спасибо вам огромное!
Вас заинтересует