• Предмет: Алгебра
  • Автор: raxmonov
  • Вопрос задан 9 лет назад

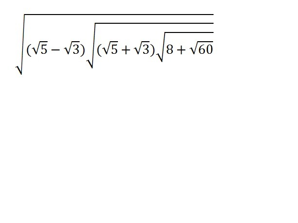
Вычеслите. необходимо решение.

Приложения:

Ответы

Ответ дал: КсенияКэт
0
Даже незнаю чет сильно сложно
Ответ дал: Simba2017
0
это не школа наверняка, курсы наверное
Вас заинтересует