Ответы
Ответ дал:
0
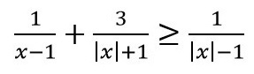
Область определения: x ≠ 1; x ≠ -1
При x < 0 будет |x| = -x



По методу интервалов
x ∈ (-oo; -3] U (-1; 1)
Так как по условию x < 0, то решение: x ∈ (-oo; -3] U (-1; 0)
При x >= 0 будет |x| = x


По методу интервалов
x ∈ (-1; +oo)
Так как по условию x >= 0, то решение: x ∈ [0; +oo)
Общее решение: x ∈ (-oo; -3] U (-1; 0) U [0; +oo)
Два интервала можно объединить.
Ответ: x ∈ (-oo; -3] U (-1; +oo)
При x < 0 будет |x| = -x
По методу интервалов
x ∈ (-oo; -3] U (-1; 1)
Так как по условию x < 0, то решение: x ∈ (-oo; -3] U (-1; 0)
При x >= 0 будет |x| = x
По методу интервалов
x ∈ (-1; +oo)
Так как по условию x >= 0, то решение: x ∈ [0; +oo)
Общее решение: x ∈ (-oo; -3] U (-1; 0) U [0; +oo)
Два интервала можно объединить.
Ответ: x ∈ (-oo; -3] U (-1; +oo)
Вас заинтересует
2 года назад
3 года назад
3 года назад
10 лет назад
10 лет назад
10 лет назад