РЕБЯЯТ. ХЕЛП.
Найти сумму тяги двигателя самолета массой 120т если он разгоняется на впп длиной 1,6км при коэф трения 0,1массой о полосу
Ответы
Ответ дал:
0
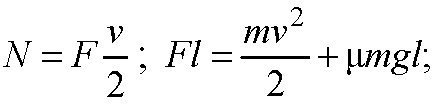
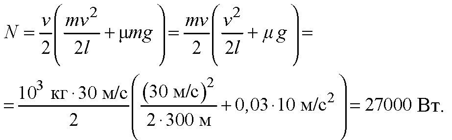
ДАНО И РЕШЕНИЕ
ДУМАЮ ТАК)))
ДУМАЮ ТАК)))
Приложения:



Ответ дал:
0
Это точно правильно?
Ответ дал:
0
кнш
Вас заинтересует
2 года назад
2 года назад
3 года назад
3 года назад
9 лет назад
10 лет назад
10 лет назад