• Предмет: Математика
  • Автор: Бутафория123
  • Вопрос задан 9 лет назад

Решите функцию y=1/3x^3-4x

Ответы

Ответ дал: KristMaxLove
0
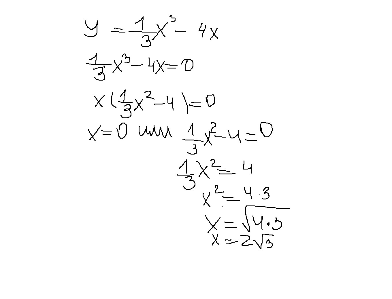
Приравнять функцию к 0 и решаем уравнение
Приложения:
Ответ дал: Бутафория123
0
А можете полностью решение написать
Ответ дал: Бутафория123
0
?1
Ответ дал: Бутафория123
0
?!
Ответ дал: KristMaxLove
0
имеешь ввиду с графиком?
Вас заинтересует