• Предмет: Алгебра
  • Автор: диолео
  • Вопрос задан 9 лет назад

решите уравнение очень нужно.
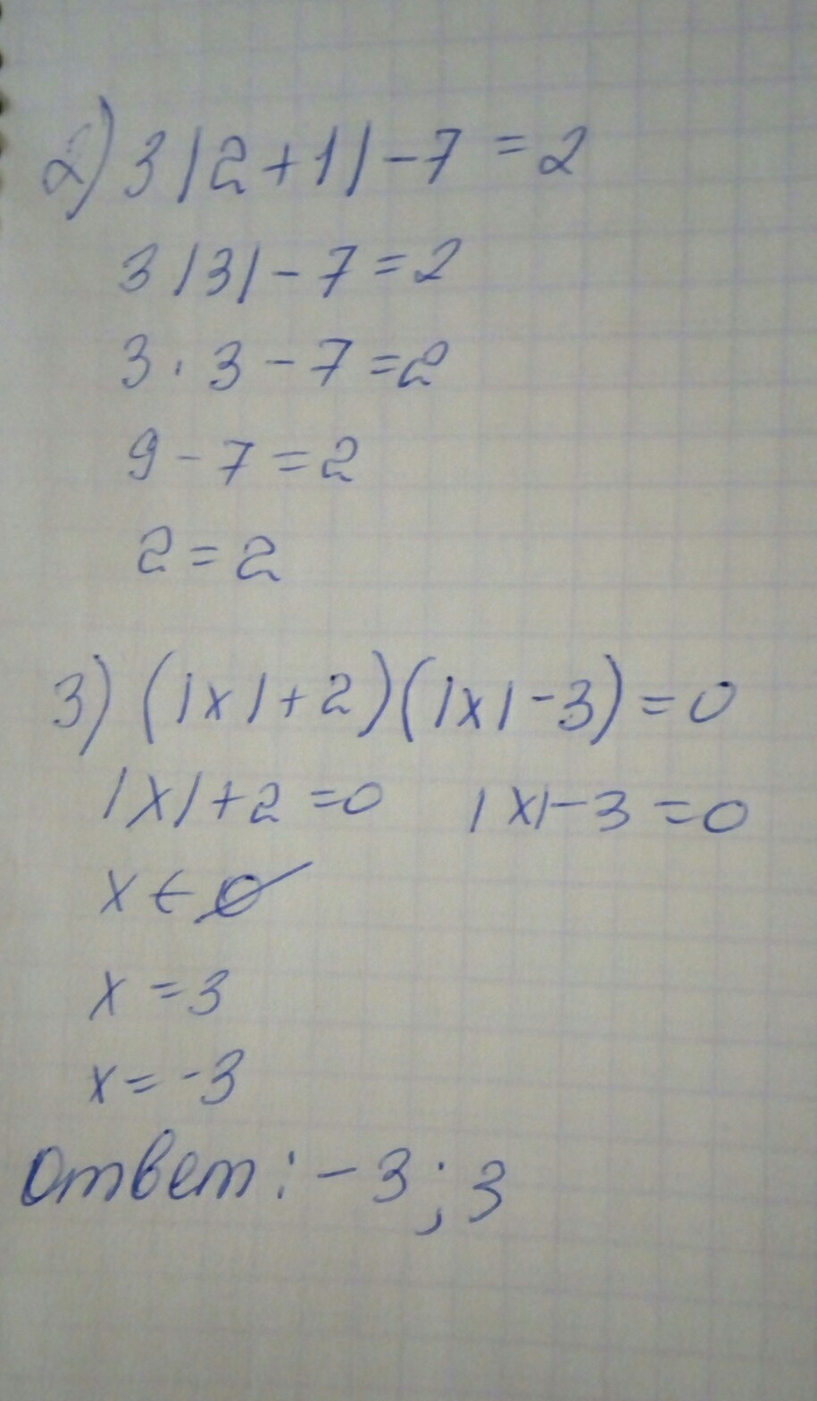
1) 0.75(2х+5)+0.25(х+3)=0.75

2) 3 I2+1I -7=2

3) (IхI+2)(IхI-3)=0

Ответы

Ответ дал: dianannn1
0
ответ))))))))))))]))]))))))))
Приложения:
Ответ дал: SofiaArgent
0
-0.75(2х+5)+0.25(х+3)=0.75
Вас заинтересует