Ответы
Ответ дал:
0
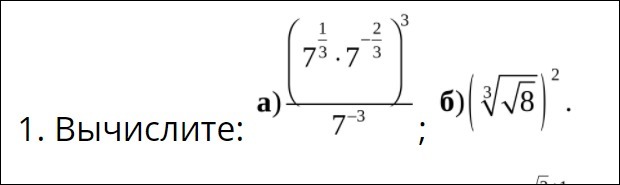
По свойству степени с одинаковым основанием


![sqrt[n]{a}=a^{ frac{1}{n}} \ \
sqrt[]{8}=8^{ frac{1}{2} } \ \ sqrt[3]{ sqrt[]{8} }=(8^{ frac{1}{2}})^{ frac{1}{3} }=8^{ frac{1}{2} cdot frac{1}{3} }=8^{ frac{1}{6} } \ \ (8^{ frac{1}{6} })^2=8^{ frac{1}{3} }=2 sqrt[n]{a}=a^{ frac{1}{n}} \ \
sqrt[]{8}=8^{ frac{1}{2} } \ \ sqrt[3]{ sqrt[]{8} }=(8^{ frac{1}{2}})^{ frac{1}{3} }=8^{ frac{1}{2} cdot frac{1}{3} }=8^{ frac{1}{6} } \ \ (8^{ frac{1}{6} })^2=8^{ frac{1}{3} }=2](https://tex.z-dn.net/?f=+sqrt%5Bn%5D%7Ba%7D%3Da%5E%7B+frac%7B1%7D%7Bn%7D%7D+%5C++%5C+%0A+sqrt%5B%5D%7B8%7D%3D8%5E%7B+frac%7B1%7D%7B2%7D+%7D+%5C++%5C++sqrt%5B3%5D%7B+sqrt%5B%5D%7B8%7D+%7D%3D%288%5E%7B+frac%7B1%7D%7B2%7D%7D%29%5E%7B+frac%7B1%7D%7B3%7D+%7D%3D8%5E%7B+frac%7B1%7D%7B2%7D+cdot++frac%7B1%7D%7B3%7D+%7D%3D8%5E%7B+frac%7B1%7D%7B6%7D+%7D+%5C++%5C+%288%5E%7B+frac%7B1%7D%7B6%7D+%7D%29%5E2%3D8%5E%7B+frac%7B1%7D%7B3%7D+%7D%3D2+)
Вас заинтересует
2 года назад
2 года назад
3 года назад
3 года назад
9 лет назад
10 лет назад
10 лет назад