• Предмет: Алгебра
  • Автор: ka561
  • Вопрос задан 9 лет назад

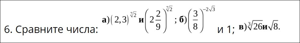
Алгебра 10 класс помогите!!!

Приложения:

Ответа на этот вопрос пока нет. Попробуйте найти его через форму поиска.

Вас заинтересует