• Предмет: Математика
  • Автор: sashapichugina
  • Вопрос задан 9 лет назад

ПОМОГИТЕ пожалуйста. Желательно расписать все на листке

Приложения:

Ответы

Ответ дал: Дачтонетакто
0
Я некоторые задания не поняла...
Приложения:
Ответ дал: sashapichugina
0
Сейчас разберусь. Спасибо
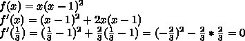
Ответ дал: baigalyam1
0
4.
a)f(x)=x²
f(-10)=(-10)²=100
б)
Приложения:
Ответ дал: sashapichugina
0
так что больше?
Вас заинтересует