Помогите плес. "степени" ^ - степень
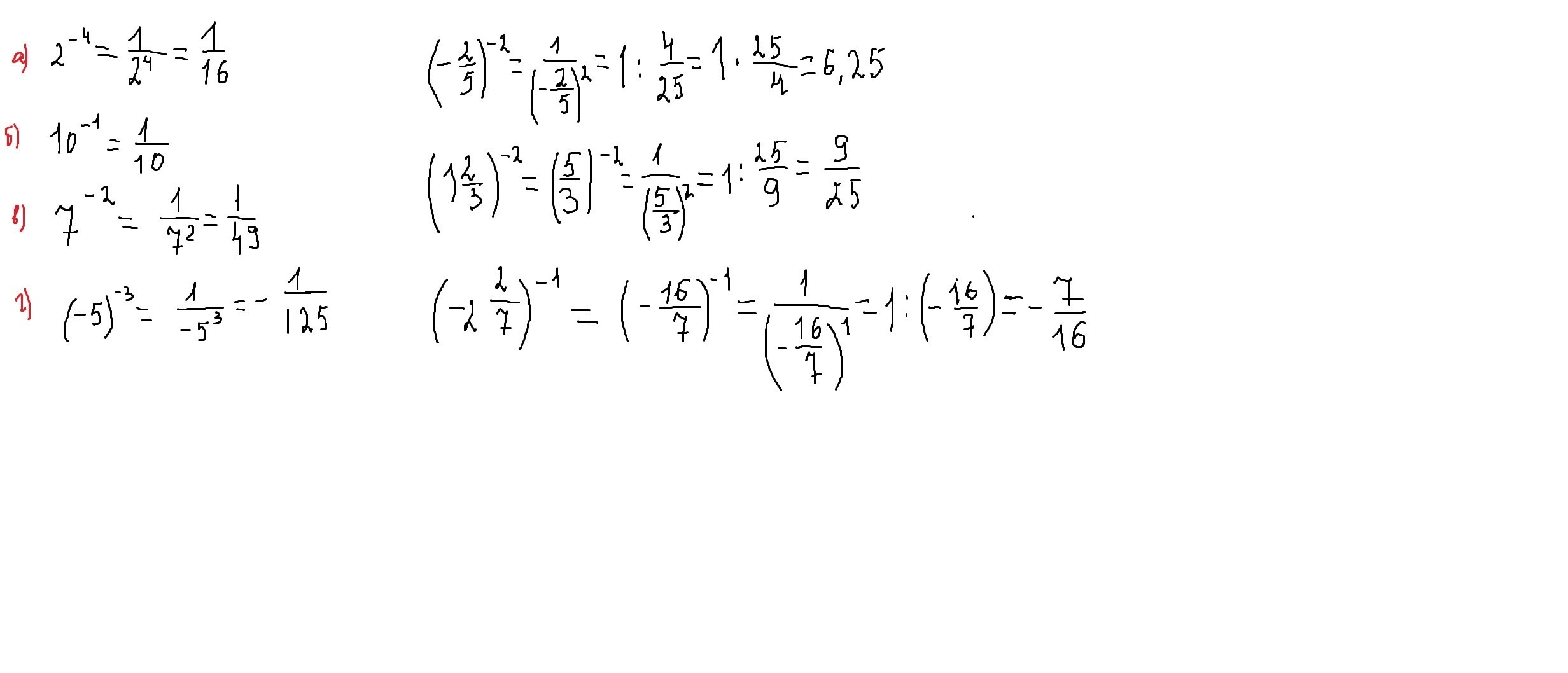
а)2^-4
б)10^-1
в)7^-2
г)(-5)^-3
д)(-2/5)^-2
ж)(1 2/3)^-2 (одна целая две третих в минус второй степени)
з)(-2 2/7)^-1 (минус две целые две седьмых в минус первой степени)
Ответы
Ответ дал:
0
смотри решение внизу
Приложения:
Вас заинтересует
2 года назад
2 года назад
3 года назад
3 года назад
9 лет назад
9 лет назад
10 лет назад