• Предмет: Алгебра
  • Автор: Лерочка2706
  • Вопрос задан 9 лет назад

Помогите решить, пожалуйста

Приложения:

Ответы

Ответ дал: UluanaV
0
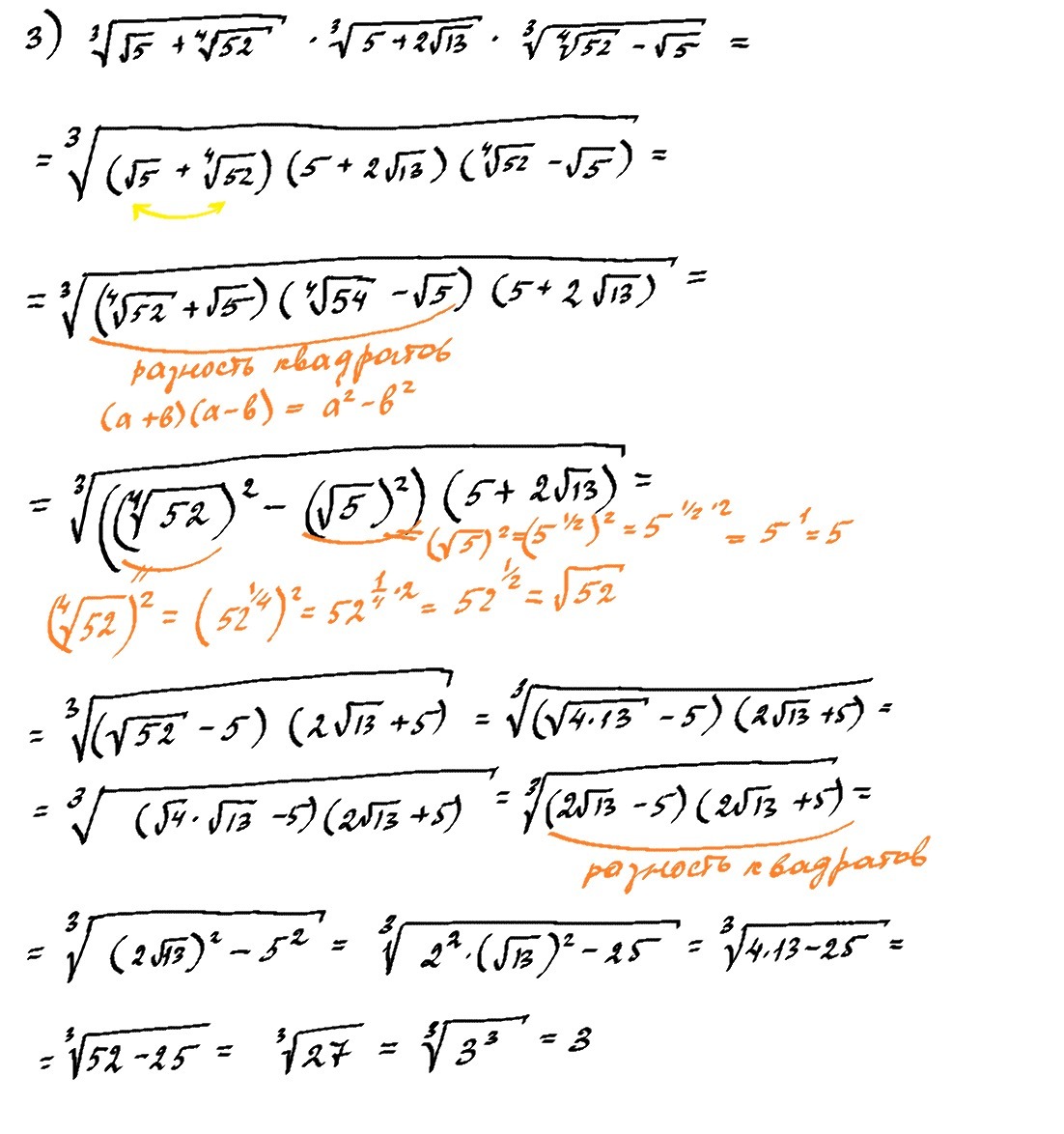
Решение в прикрепленных файлах.
Приложения:
Вас заинтересует