• Предмет: Алгебра
  • Автор: maximus158796
  • Вопрос задан 9 лет назад

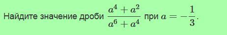
помогите пожалуйста, срочно. заранее спасибо!!!

Приложения:

Ответы

Ответ дал: Akeisha
0
=а^6/а^10=-1^6/3^10=-1/59049 о.О
Вас заинтересует