• Предмет: Алгебра
  • Автор: daniil200316
  • Вопрос задан 9 лет назад

Надо решить только номер 167

Приложения:

Ответы

Ответ дал: HelpV777
0
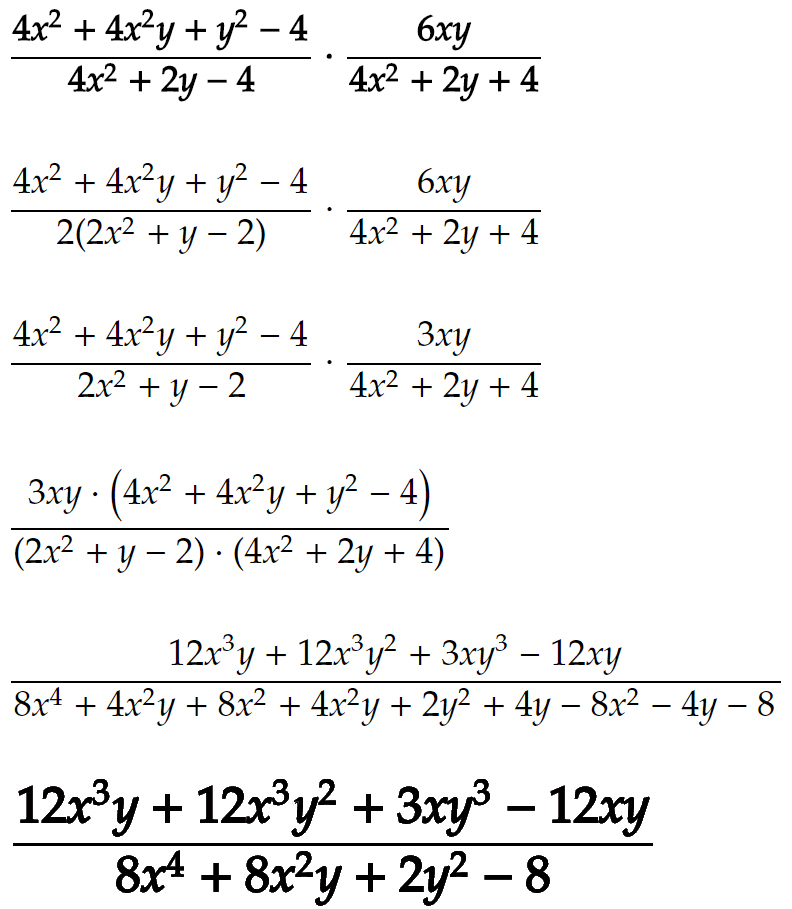
Фотография ниже. ------------>
Приложения:
Вас заинтересует