• Предмет: Алгебра
  • Автор: Ontseva
  • Вопрос задан 9 лет назад

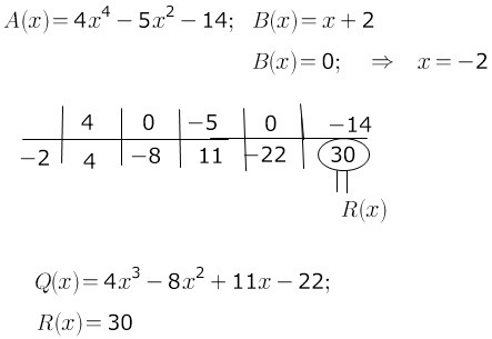
с помощью схемы горнера разделиие многочлен А(х) на многочлен В(х),укажите неполнре частное Q(x) и остпток R(x) если а(х)=4x^4-5x^2-14 ,b(x)=x+2

Ответы

Ответ дал: Аноним
0
Решение прицеплено на картинке.
Приложения:
Вас заинтересует