• Предмет: Математика
  • Автор: tika74
  • Вопрос задан 9 лет назад

Действия с комплексными числами. ПОМОГИТЕ ПОЖАЛУЙСТА

Приложения:

Ответы

Ответ дал: UluanaV
0
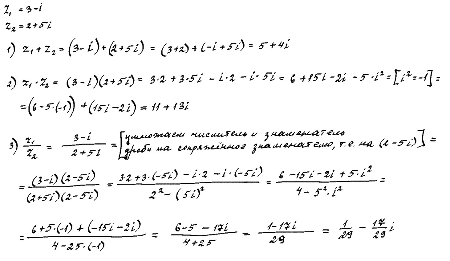
Решение в прикрепленном файле.
Приложения:
Вас заинтересует