• Предмет: Математика
  • Автор: temkaprudelyuk
  • Вопрос задан 9 лет назад

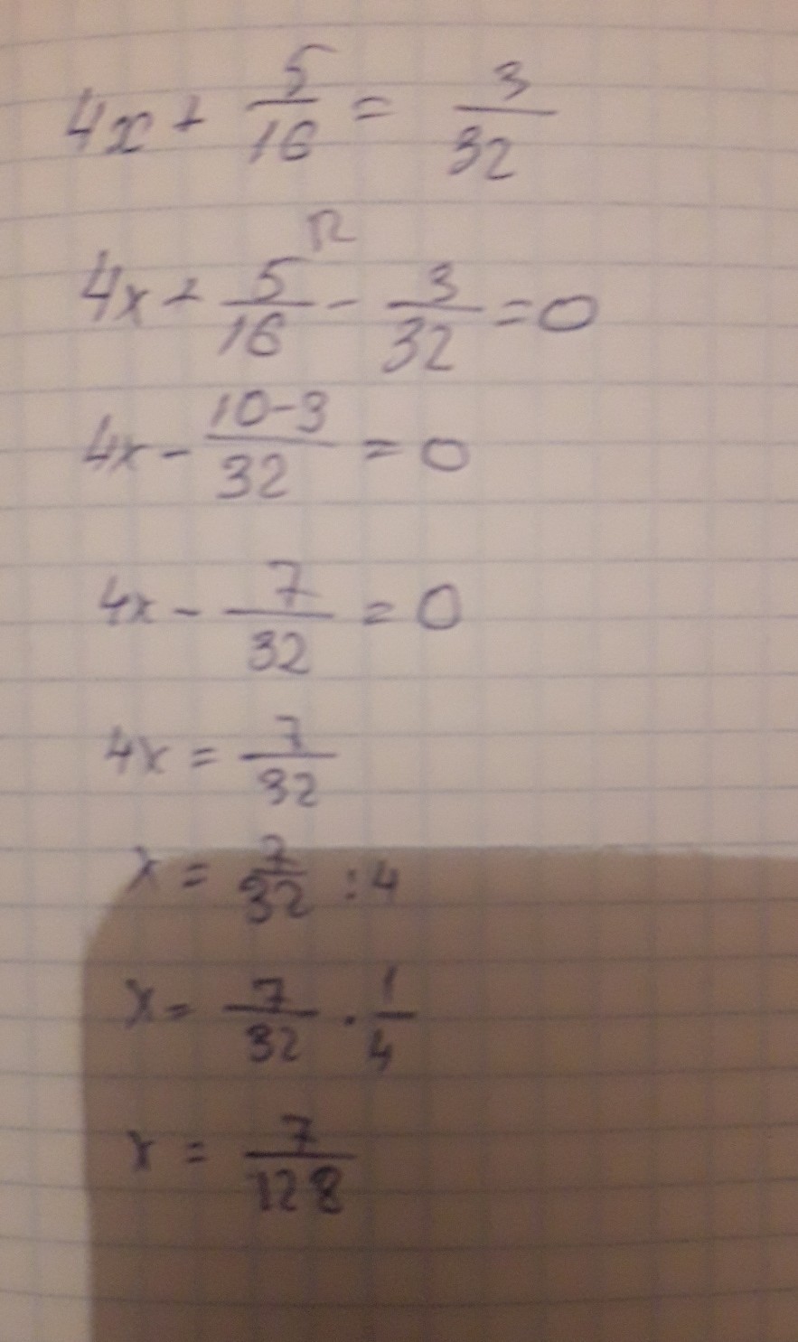
4x+5/16=3/32 решить уравнение(без минусовых чисел)

Ответы

Ответ дал: kosem1
0
решила задачу без минусовых чисел
Приложения:
Ответ дал: temkaprudelyuk
0
+++
Ответ дал: kosem1
0
аа понятно тогда щясь
Ответ дал: temkaprudelyuk
0
в ответе тоже не должен получиться минус
Ответ дал: kosem1
0
стой почему я не могу ответить на вопрос не могу загрузить фото
Ответ дал: kosem1
0
можкшь задать вопрос снова
Вас заинтересует