• Предмет: Алгебра
  • Автор: 0Boba0medusa0
  • Вопрос задан 9 лет назад

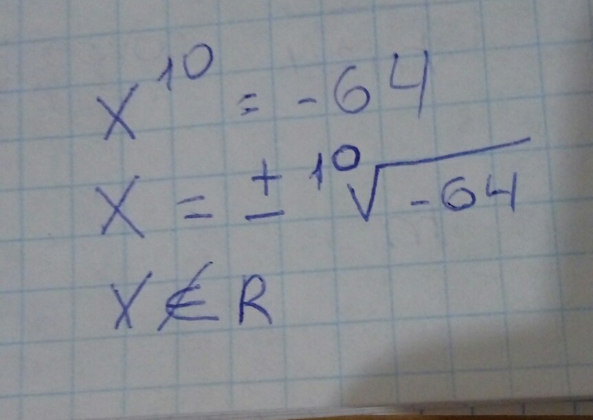
Решите уравнение x(в 10 степени)=-64

Ответы

Ответ дал: annahappy13
0
Вот, держи :)
(надеюсь помогла)
Приложения:
Ответ дал: 0Boba0medusa0
0
Го знакомиться:D
Вас заинтересует