Ответы
Ответ дал:
0
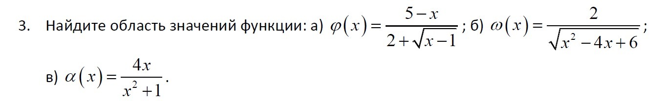
а) знаменатель не равен нулю, значит корень не равен -2, но корень всегда число неотрицательное, значит ОДЗ ограничивается только подкоренным выражением: х-1 больше 0, то есть х > 1
б) знаменатель не равен нулю, значит подкоренное выражение строго больше нуля. Решая квадратное уравнение, получим, что корней нет, значит ОДЗ - любое число
в) в знаменателе всегда будет положительное число (квадрат - число неотрицательное), значит ОДЗ - также любое число
б) знаменатель не равен нулю, значит подкоренное выражение строго больше нуля. Решая квадратное уравнение, получим, что корней нет, значит ОДЗ - любое число
в) в знаменателе всегда будет положительное число (квадрат - число неотрицательное), значит ОДЗ - также любое число
Вас заинтересует
2 года назад
2 года назад
3 года назад
3 года назад
10 лет назад
10 лет назад