• Предмет: Алгебра
  • Автор: PechkinTHEpostmaN
  • Вопрос задан 9 лет назад

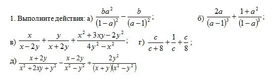
...............................см.файл............

Приложения:

Ответы

Ответ дал: подкожного
0
решение задания смотри на фотографии
Приложения:
Вас заинтересует