• Предмет: Алгебра
  • Автор: AlenaHromova
  • Вопрос задан 9 лет назад

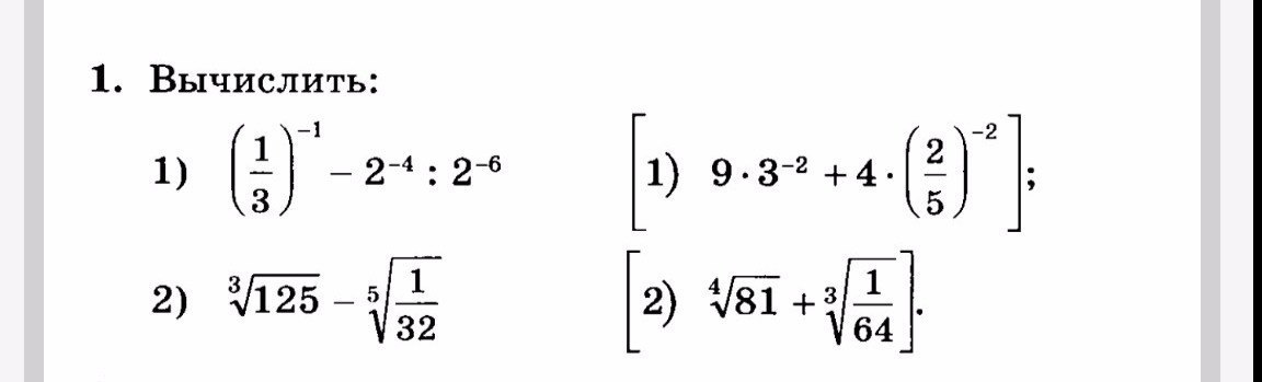
Помогите решить только то, что НЕ в квадратных скобках

Приложения:

Ответы

Ответ дал: kulinichkatya2
0
ответ -1 
3-2 во 2 степени
3-4=-1

Вас заинтересует