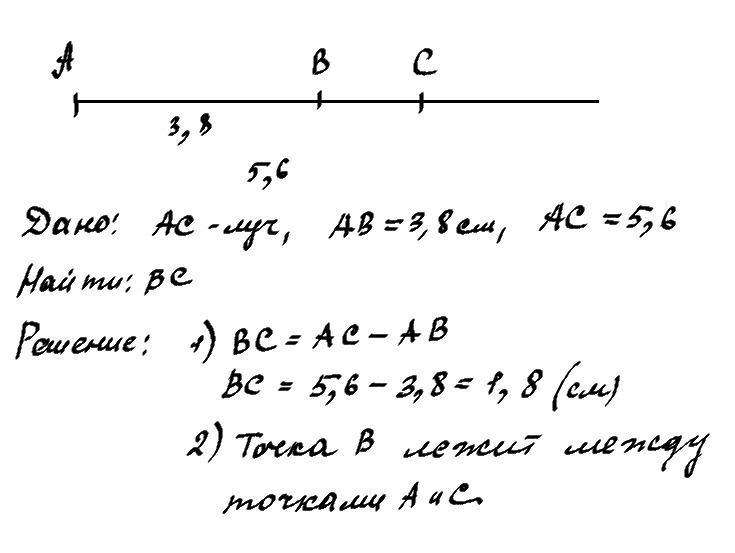
на луче с началом в точке А отмечены B и C найдите отрезок BC если A B равен 3,8 сантиметров а C 5,6 сантиметров Какая из точек лежит между двумя другими
Ответы
Ответ дал:
0
Решение в прикрепленном файле.
Приложения:

Вас заинтересует
2 года назад
2 года назад
3 года назад
3 года назад
9 лет назад
9 лет назад
10 лет назад