• Предмет: Алгебра
  • Автор: badangel888
  • Вопрос задан 9 лет назад

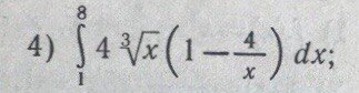
Первообразная, вычислите

Приложения:

Ответы

Ответ дал: oganesbagoyan
0
task/25681127
-------------------
см приложения 


Приложения:
Вас заинтересует