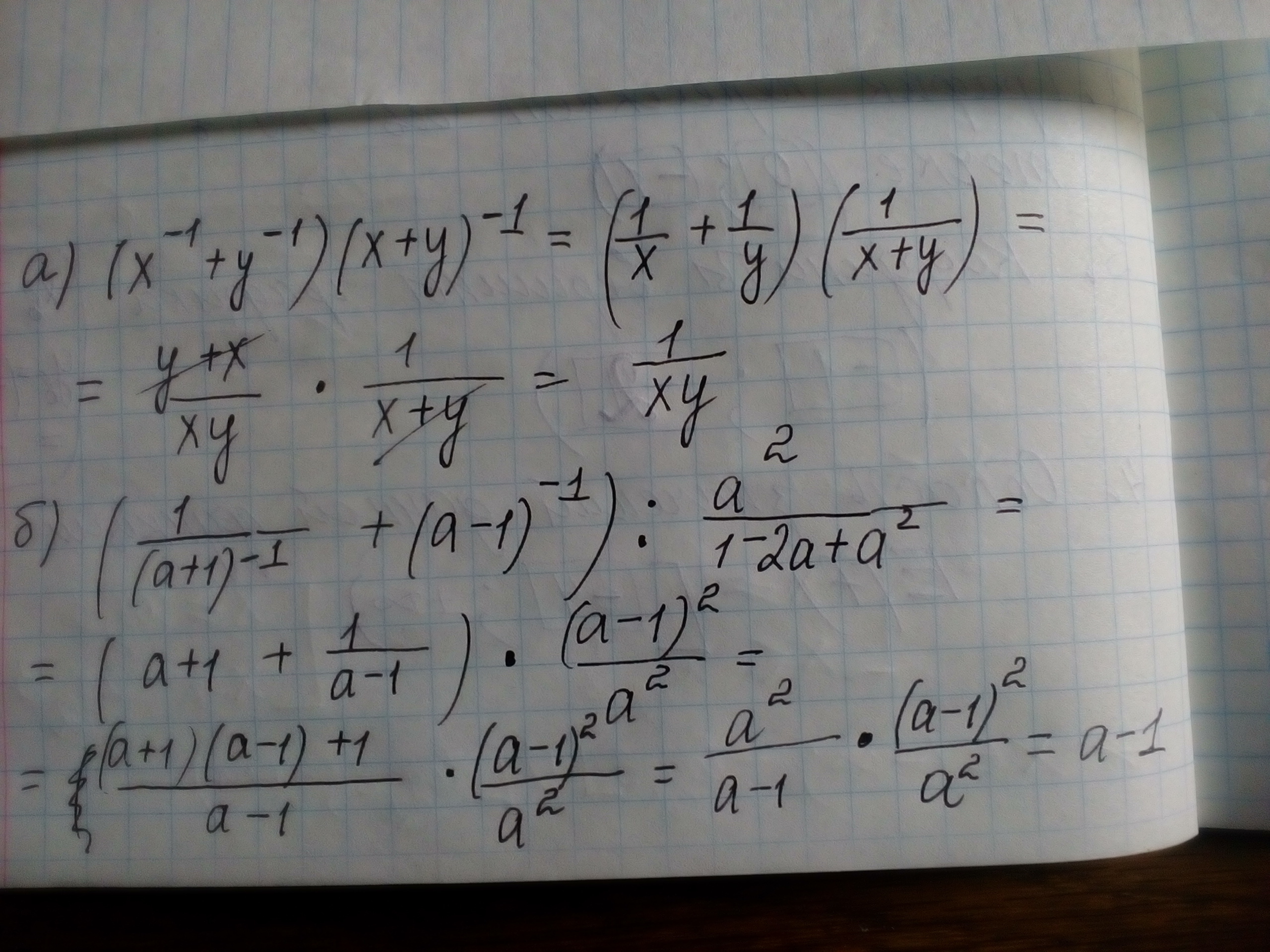
упростить выражение а) (х^-1+у^-1)(х+у)^-1
б) (1/(а+1)^-1 +(а-1)^-1):а^2/(1-2а+а2)
пожалуйста,очень срочно
Ответы
Ответ дал:
0
!!!!!!!!!!!!!!!!!!!!!!!!!!!!!
Приложения:

Вас заинтересует
2 года назад
2 года назад
3 года назад
9 лет назад
9 лет назад
10 лет назад
10 лет назад