• Предмет: Алгебра
  • Автор: FayrJay
  • Вопрос задан 9 лет назад

чему равен дискриминант

Приложения:

Ответы

Ответ дал: manyny06
0

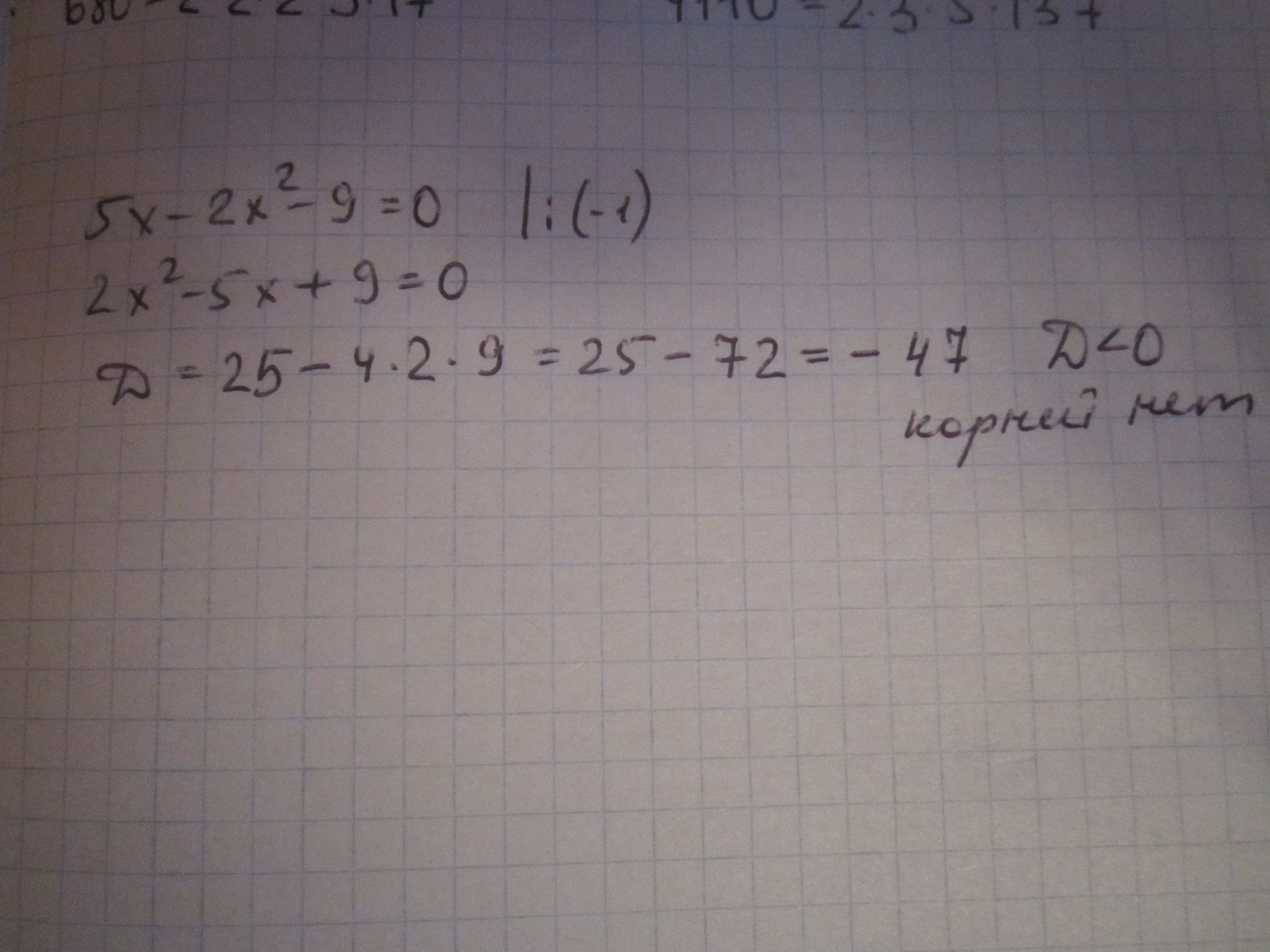
5х-2х²-9=0
2х²-5х+9=0
Д=(-5)² - 4*2*9 = 25 - 72
Д= -47
Ответ дал: mamilois
0
так то -2 и 5 надо местами поменять
Ответ дал: manyny06
0
Общий вид квадратного уравнения: ах в квадрате + вх + с = 0. Д = (-в) в квадрате - 4*а*с
Ответ дал: mamilois
0
вот и я говорю что в=5 а=-2 с=-9
Ответ дал: mamilois
0
в условии ах^2 b bx поменяны местами
Ответ дал: mamilois
0
вооооооооооооооооооооооот
Приложения:
Ответ дал: FayrJay
0
да, скорее это, со знаком беда
Вас заинтересует