• Предмет: Алгебра
  • Автор: popovaalena562
  • Вопрос задан 9 лет назад

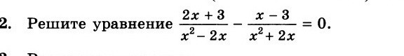
помогите решить пожалуйста очень срочноо надо,дам 50 баллов

Приложения:

Ответы

Ответ дал: ВладимирБ
0
Решение смотри на фото
Приложения:
Вас заинтересует