• Предмет: Алгебра
  • Автор: lerachirva
  • Вопрос задан 9 лет назад

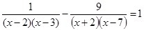
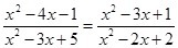
РЕШИТЕ ПОЖАЛУЙСТА. Очень надо. Хотя бы одно из двух

Приложения:

Ответа на этот вопрос пока нет. Попробуйте найти его через форму поиска.

Вас заинтересует