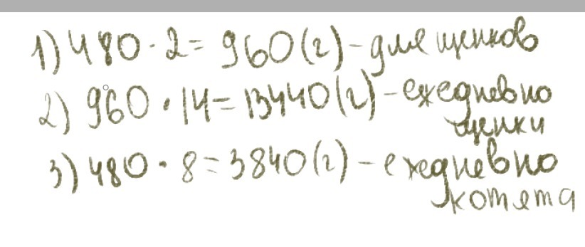
в питомнике 8котят и14щенков.Котятам отпускается ежедневно по 480 г корма ,для щенка требуется в 2раза больше корма ,чем для котенка.Сколько корма ежедневно получают все щенки?
Ответы
Ответ дал:
0
вот
если что в почерке непонятно - пиши
если что в почерке непонятно - пиши
Приложения:
Ответ дал:
0
480×2×14=13440 грамм=13кг 440 грамм
Приложения:
Вас заинтересует
2 года назад
2 года назад
3 года назад
9 лет назад
9 лет назад
10 лет назад
10 лет назад