• Предмет: Математика
  • Автор: НеудачникНомер1
  • Вопрос задан 9 лет назад

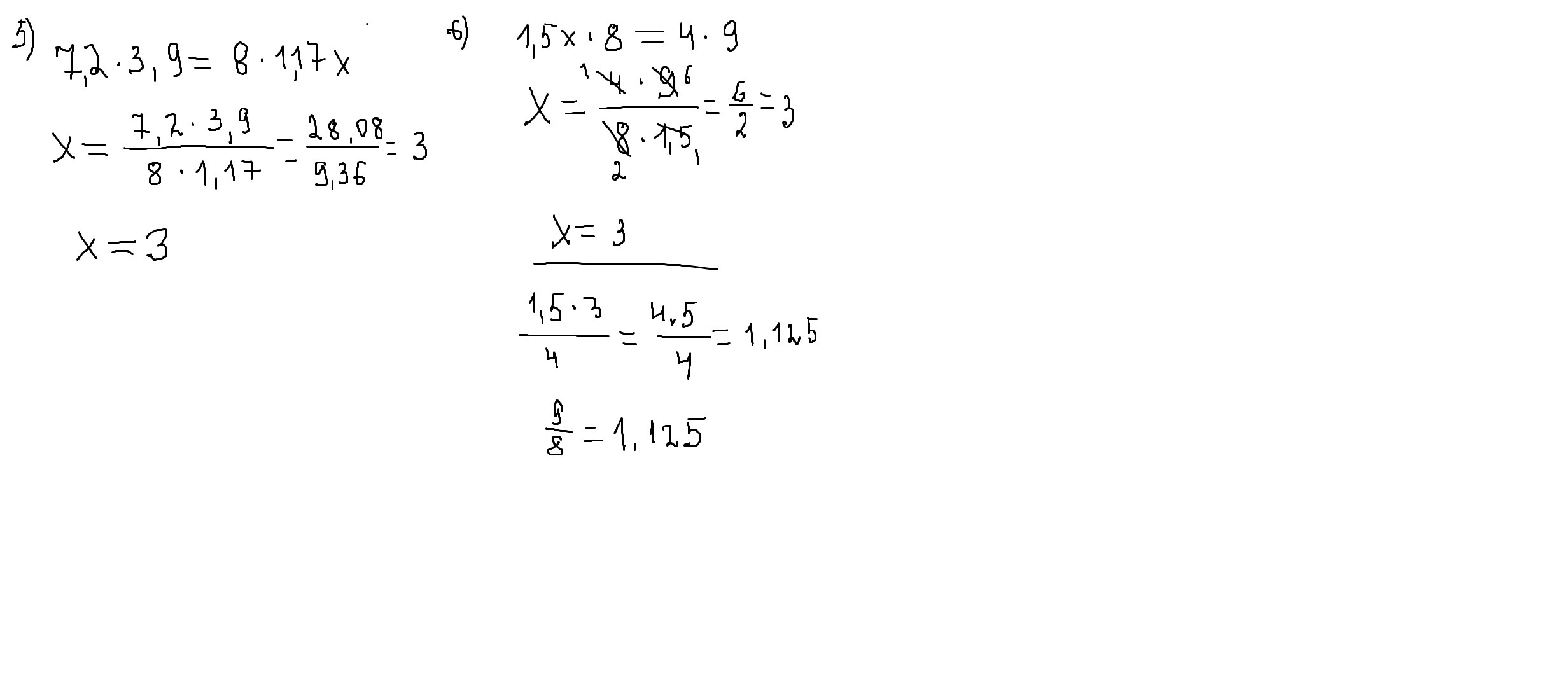
Помогите пожалуйста прошу!, 5 и 6 надо решить

Приложения:

Ответы

Ответ дал: qqppzy
0
вот, держи, я старалась
Приложения:
Ответ дал: НеудачникНомер1
0
Блин спасибо огромное!!, ты не представляешь как ты меня спасла. Спасибо большое!
Ответ дал: qqppzy
0
не за что)
Ответ дал: parus77
0
решение смотри на картинке внизу
Приложения:
Вас заинтересует