Ответы
Ответ дал:
0
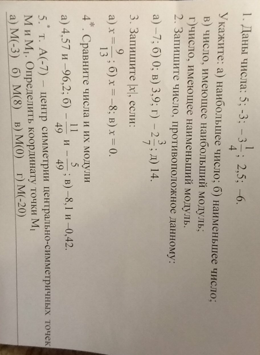
4.
a) 4,57 > -96,2
|4,57| < |-96,2|
b) -11/49 < -5/49
|-11/49| > |-5/49|
c) -8,1 < -0,42
|-8,1| > |-0,42|
5.
a) M1(-7 + (-7-(-3)) = M1(-11)
Ответ: -11
b) M1(-7 + (-7-8)) = M1(-22)
Ответ: -22
c) M1(-7 + (-7-0)) = M1(-14)
Ответ: -14
d) M1(-7 + (-7-(-20)) = M1(6)
Ответ: 6
a) 4,57 > -96,2
|4,57| < |-96,2|
b) -11/49 < -5/49
|-11/49| > |-5/49|
c) -8,1 < -0,42
|-8,1| > |-0,42|
5.
a) M1(-7 + (-7-(-3)) = M1(-11)
Ответ: -11
b) M1(-7 + (-7-8)) = M1(-22)
Ответ: -22
c) M1(-7 + (-7-0)) = M1(-14)
Ответ: -14
d) M1(-7 + (-7-(-20)) = M1(6)
Ответ: 6
Вас заинтересует
2 года назад
3 года назад
9 лет назад
10 лет назад
10 лет назад