• Предмет: Алгебра
  • Автор: TheHeyWell
  • Вопрос задан 9 лет назад

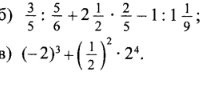
Решите в столбик плиз!)

Приложения:

Ответы

Ответ дал: домик3555
0
во вложениииииииииииииииииии
Приложения:
Ответ дал: TheHeyWell
0
Спасибо ОГРООООМНОЕ!))
Ответ дал: домик3555
0
да не за что))) Удачи))
Ответ дал: TheHeyWell
0
Спасибо!) Взаимно
Вас заинтересует