• Предмет: Алгебра
  • Автор: Pizetiv4ik
  • Вопрос задан 9 лет назад

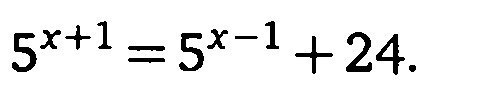
Срочно нужно, пожалуйста нужна помощь

Приложения:

Ответа на этот вопрос пока нет. Попробуйте найти его через форму поиска.

Вас заинтересует