• Предмет: Алгебра
  • Автор: RocNRol
  • Вопрос задан 9 лет назад

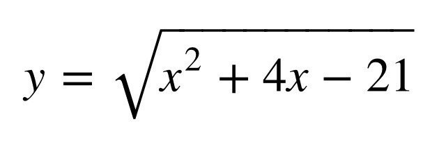
Найти: область значения этой функции

Приложения:

Ответы

Ответ дал: NeZeRAvix
0
 sqrt{x^2+4x-21} geq 0 rightarrow y geq 0

Ответ: y≥0
Ответ дал: RocNRol
0
можно подробнее, как вы нашли?
Ответ дал: NeZeRAvix
0
число из-под корня не может быть отрицательным, следовательно оно больше, либо равно нулю. Из равенства y=√x^2+4x-21 следует, что y тоже больше, либо равен нулю
Ответ дал: Universalka
0

Областью значений этой функции являются все значения y из промежутка

[0 ; + бесконечности )

Ответ дал: RocNRol
0
можно подробнее, как вы нашли?
Вас заинтересует