• Предмет: Химия
  • Автор: exanganu2111
  • Вопрос задан 9 лет назад

 Расставьте коэффициенты, определите тип реакции:
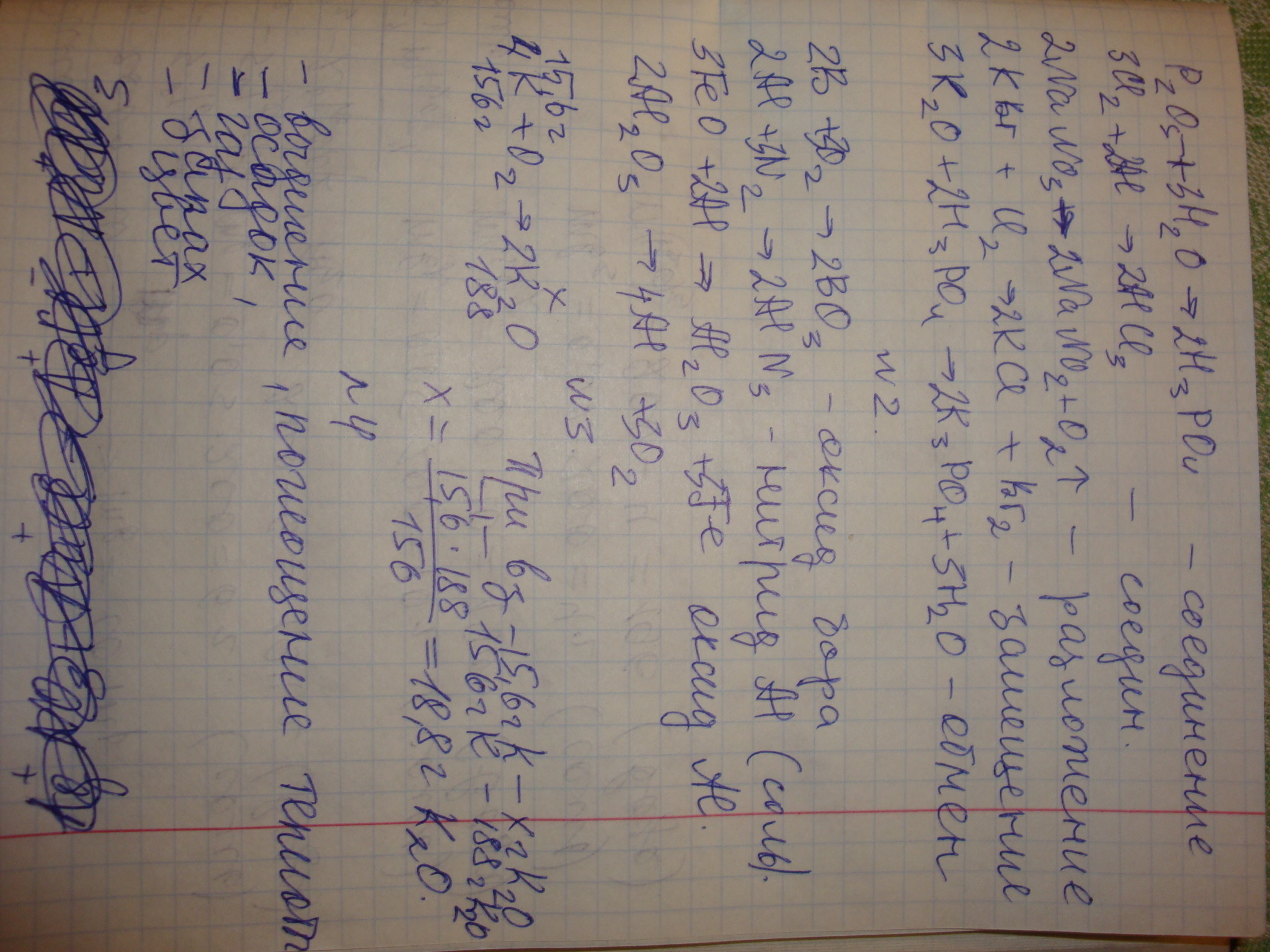
а)  P2О5 + Н2О →Н3РО4
б) Cl2+Al → AlCl3
 в) NaNO3 → NaNO2+O2↑
  г ) KBr +Cl2 → KCl+ Br2↑
 д) K2O+ H3PO4 → K3PO4 + H2O
2. Дописать уравнения реакций,  расставить коэффициенты, назвать сложные вещества.
а) Реакция соединения: B+ O2 →                                                          
б)  ) Реакция соединения:  Al +N2→
в) Реакция замещения:  FeO + Al →
 г ) Реакция разложения(электролиз): Al2 O3  →
3 . По уравнению реакции K + O2  →K2O, вычислите массу оксида калия , если  в реакцию с кислородом  вступило 15,6 г калия.
 4. Какими признаками сопровождаются химические реакции?

Ответы

Ответ дал: unezhewaoxnw6u
0

Первое:
а)  P2О5 + 3Н2О →2Н3РО4
б) 3Cl2+2Al → 2AlCl3
в) 2NaNO3 → 2NaNO2+O2↑
г ) 2KBr +Cl2 → 2KCl+ Br2↑
д) 3K2O+ 2H3PO4 → 2K3PO4 + 3H2O
Второе:
2В+О2=2ВО
2Al +N2=2AlN 
3FeO + 2Al= Al2О3+3Fe 
 2Al2 O3= 4Al+3O2
Третье:
4K + O2  →2K2O
15,6грм К, молекулярная масса калия 39г/моль
хгрм оксида калия, молекулярная масса оксида К 94г/моль
m(K2O)= (15.6*2*94)/4*39=18.8грм
Четвертое:
Выделение газов, поглощение или наоборот выделение тепла, образование газов, изменение цвета, образовываются новые вещества со своими новыми физико-химическими свойствами.
Ответ дал: gematit0802
0
Как дополнение  к уже данному ответу.
Приложения:
Вас заинтересует