• Предмет: Математика
  • Автор: Leratan1
  • Вопрос задан 9 лет назад

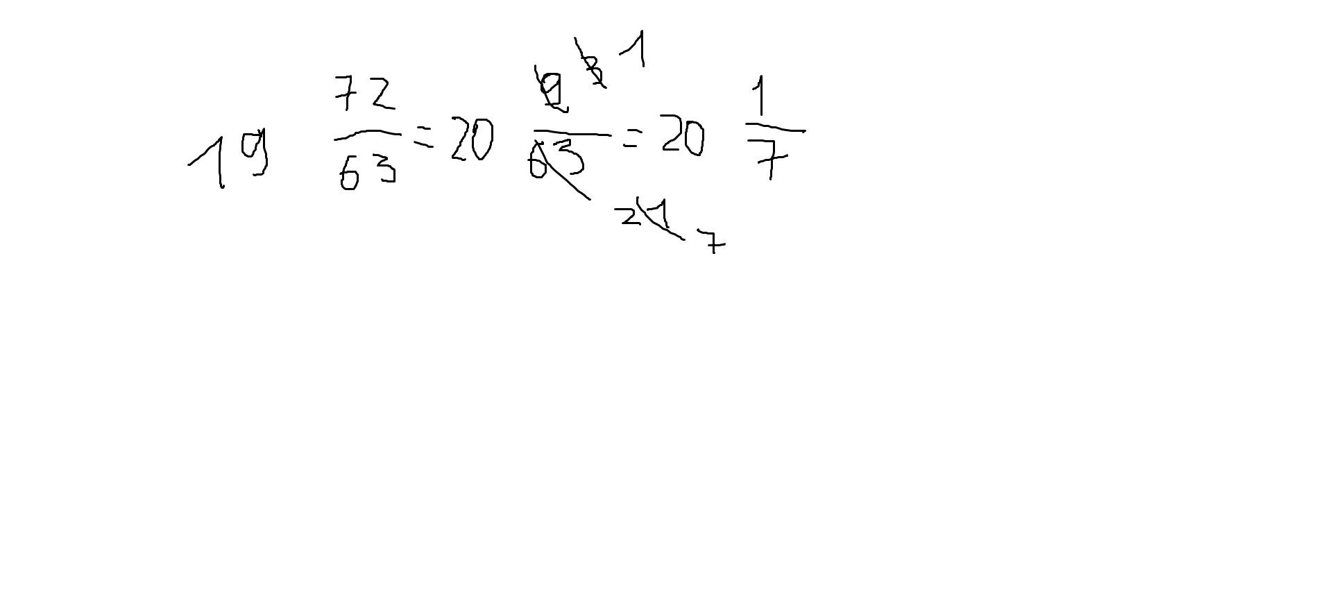
сократите дробь 19 целых 72/63

Ответы

Ответ дал: TlPuBeT
0
Если помогла,отметь ответ коронкой,пожалуйсто..)
Приложения:
Ответ дал: Leratan1
0
не знаю как
Ответ дал: Nastya171167
0
19 72/63 = 1269/63=141/7=20 1/7 

Приложения:
Вас заинтересует