• Предмет: Алгебра
  • Автор: RegulusRegulus
  • Вопрос задан 9 лет назад

Я не понимаю тему...
Помогите!
Спасибо!

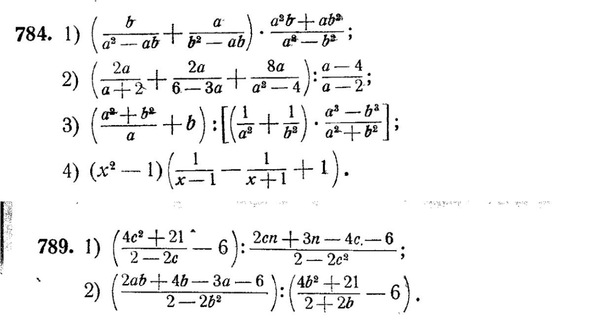
Приложения:

Ответа на этот вопрос пока нет. Попробуйте найти его через форму поиска.

Вас заинтересует