Ответы
Ответ дал:
0
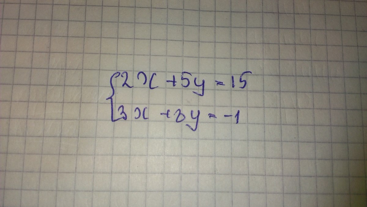
2x + 5y = 15 y = (15 - 2x) / 5 y = (15 - 2x) / 5 y = -47
3x + 8y = -1 3x + 8 * ((15 - 2x) / 5 ) = -1 24 - 0,2 * x = -1 x = 125
выражаем y через x и подставляем во 2ое уравнение, решаем второе, находим y
Ответ: (125; -47)
3x + 8y = -1 3x + 8 * ((15 - 2x) / 5 ) = -1 24 - 0,2 * x = -1 x = 125
выражаем y через x и подставляем во 2ое уравнение, решаем второе, находим y
Ответ: (125; -47)
Вас заинтересует
3 года назад
3 года назад
8 лет назад
11 лет назад
11 лет назад