Ответы
Ответ дал:
0
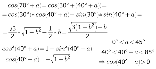
косинус связан с синусом через основное тригонометрическое тождество))
+формула косинус суммы...
+формула косинус суммы...
Приложения:

Вас заинтересует
3 года назад
3 года назад
9 лет назад
9 лет назад
10 лет назад
10 лет назад