• Предмет: Алгебра
  • Автор: ЮленькаАртамонова
  • Вопрос задан 11 лет назад

Выручайте))срочно нужно решение)

Приложения:

Ответы

Ответ дал: Yena
0
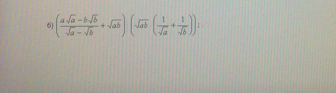
(frac{asqrt{a}-bsqrt{b}}{sqrt{a}-sqrt{b}}+sqrt{ab}):(sqrt{ab}(frac{1}{sqrt{a}}+frac{1}{sqrt{b}})=frac{asqrt{a}-bsqrt{b}+sqrt{ab}(sqrt{a}-sqrt{b})}{sqrt{a}-sqrt{b}}:(sqrt{ab}*frac{sqrt{b}+sqrt{a}}{sqrt{ab}})=\ \ =frac{asqrt{a}-bsqrt{b}+asqrt{b}-bsqrt{a}}{sqrt{a}-sqrt{b}}:(sqrt{a}+sqrt{b})=frac{a(sqrt{a}+sqrt{b})-b(sqrt{a}+sqrt{b})}{sqrt{a}-sqrt{b}}*frac{1}{sqrt{a}+sqrt{b}}=\ \ =frac{(a-b)(sqrt{a}+sqrt{b})}{(a-b)}=sqrt{a}+sqrt{b}
Вас заинтересует