• Предмет: Алгебра
  • Автор: Аноним
  • Вопрос задан 11 лет назад

решите уравнение. 




ПОМОГИТЕ ПЛИЗЗЗЗЗЗ

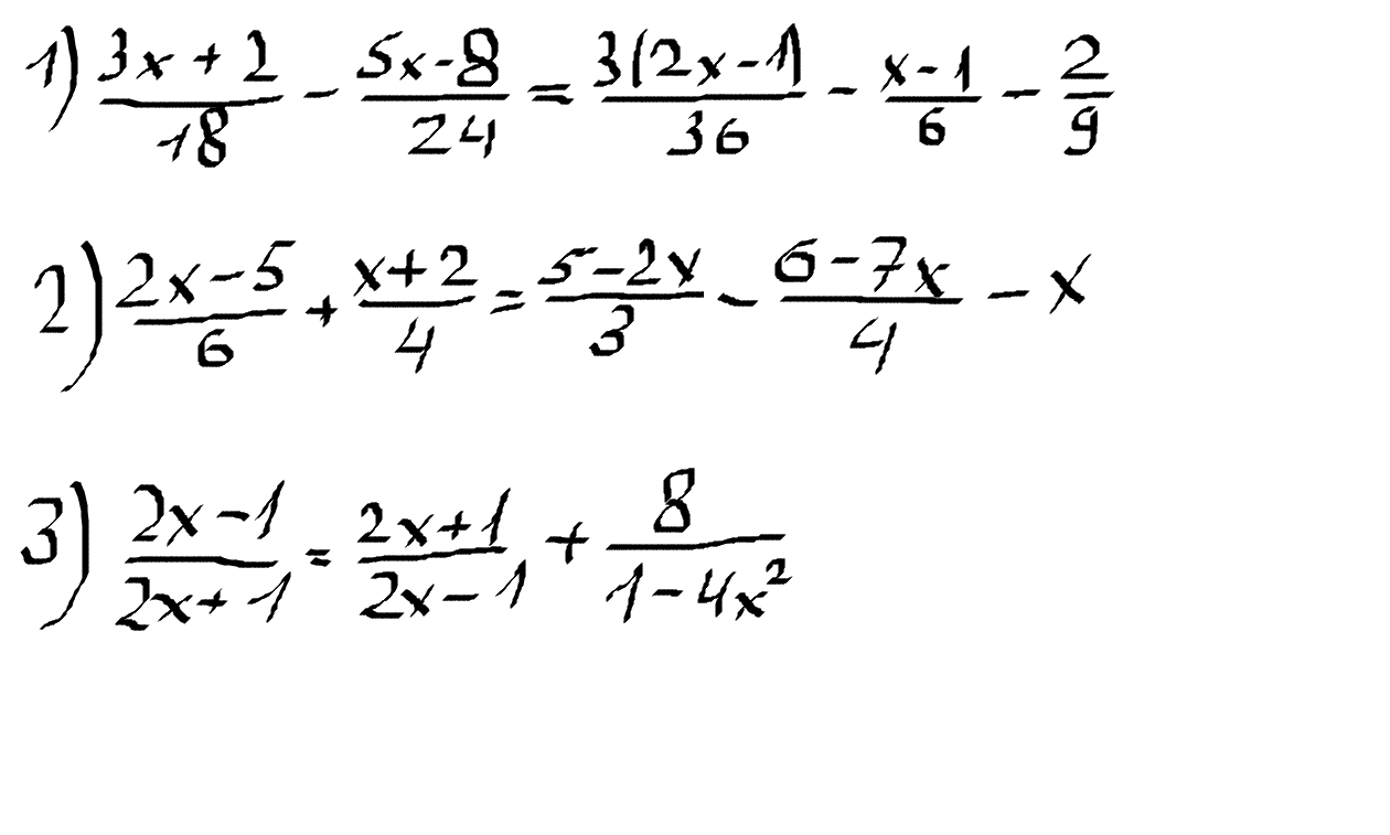
Приложения:

Ответы

Ответ дал: Аноним
0
 dfrac{3x+2}{18}- dfrac{5x-8}{24}= dfrac{3(2x-1)}{36} + dfrac{x-1}{6}- dfrac{2}{9}
Умножим обе части уравнения на 72, получаем
4cdot (3x+2)-3cdot (5x-8)=6cdot (2x-1)-12(x-1)-8cdot 2\ 12x+8-15x+24=12x-6-12x+12-16\ -15x+12x=-10-32\ -3x=-42\ x=14

Ответ: x=14.

 dfrac{2x-5}{6}+ dfrac{x+2}{4} = dfrac{5-2x}{3}  - dfrac{6-7x}{4}-x
Умножим обе части уравнения на 24, получаем
4cdot(2x-5)+6cdot(x+2)=8cdot(5-2x)-6cdot(6-7x)-24x\ 8x-20+6x+12=40-16x-36+42x-24x\ 14x-2x=4+8\ 12x=12\ x=1

Ответ: x=1.

 dfrac{2x-1}{2x+1}= dfrac{2x+1}{2x-1}+ dfrac{8}{1-4x^2}   \  dfrac{2x-1}{2x+1}= dfrac{2x+1}{2x-1} - dfrac{8}{4x^2-1}
Умножим обе части уравнения на (4x^2 - 1), получаем
(2x-1)^2=(2x+1)^2-8\ (2x-1)^2-(2x+1)^2+8=0\ (2x-1-2x-1)(2x-1+2x+1)+8=0\ -2cdot4x+8=0\ 4x=4\ x=1

Ответ: x=1.
Вас заинтересует