• Предмет: Алгебра
  • Автор: Natuscat
  • Вопрос задан 11 лет назад

Помогите вычислить предел:

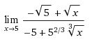
Приложения:

Ответы

Ответ дал: dtnth
0
lim_{x->5} frac{-sqrt{5}+sqrt{x}}{-5+5^{frac{2}{3}}sqrt[3]{x}}=

lim_{x->5} frac{sqrt{x}-sqrt{5}}{5^{frac{2}{3}}(sqrt[3]{x}-sqrt[3]{5})}=

lim_{x->5} frac{(sqrt[6]{x}-sqrt[6]{5})(sqrt[3]x+sqrt[6]{5x}+sqrt[3] 5)}{sqrt[3]{25}(sqrt[6]{x}-sqrt[6]{5})(sqrt[6]{x}+sqrt[6]{5})}=

lim_{x->5} 
frac{sqrt[3]x+sqrt[6]{5x}+sqrt[3] 
5}{sqrt[3]{25}(sqrt[6]{x}+sqrt[6]{5}}=

frac{(sqrt[3] {5}+sqrt[3]{5}+sqrt[3] 
{5})}{sqrt[3]{25}(sqrt[6]{5}+sqrt[6]{5})}=frac{3sqrt[3]{5}}{2sqrt[3] {25}sqrt[6]{5}}=frac{3sqrt[6]{5}}{2sqrt[6]{625}}=\\ frac{3}{2sqrt[6]{125}}=frac{3}{2*sqrt5}


Ответ дал: dtnth
0
использовали формулы разности квадратов и разности кубов
Вас заинтересует