• Предмет: Алгебра
  • Автор: Аноним
  • Вопрос задан 9 лет назад

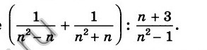
Упростите выражение

Приложения:

Ответы

Ответ дал: manyny06
0
решение  смотри на фотографии
Приложения:
Ответ дал: 99tasha
0
Решение в фото:
-------------------------------
Приложения:
Вас заинтересует