Ответы
Ответ дал:
0
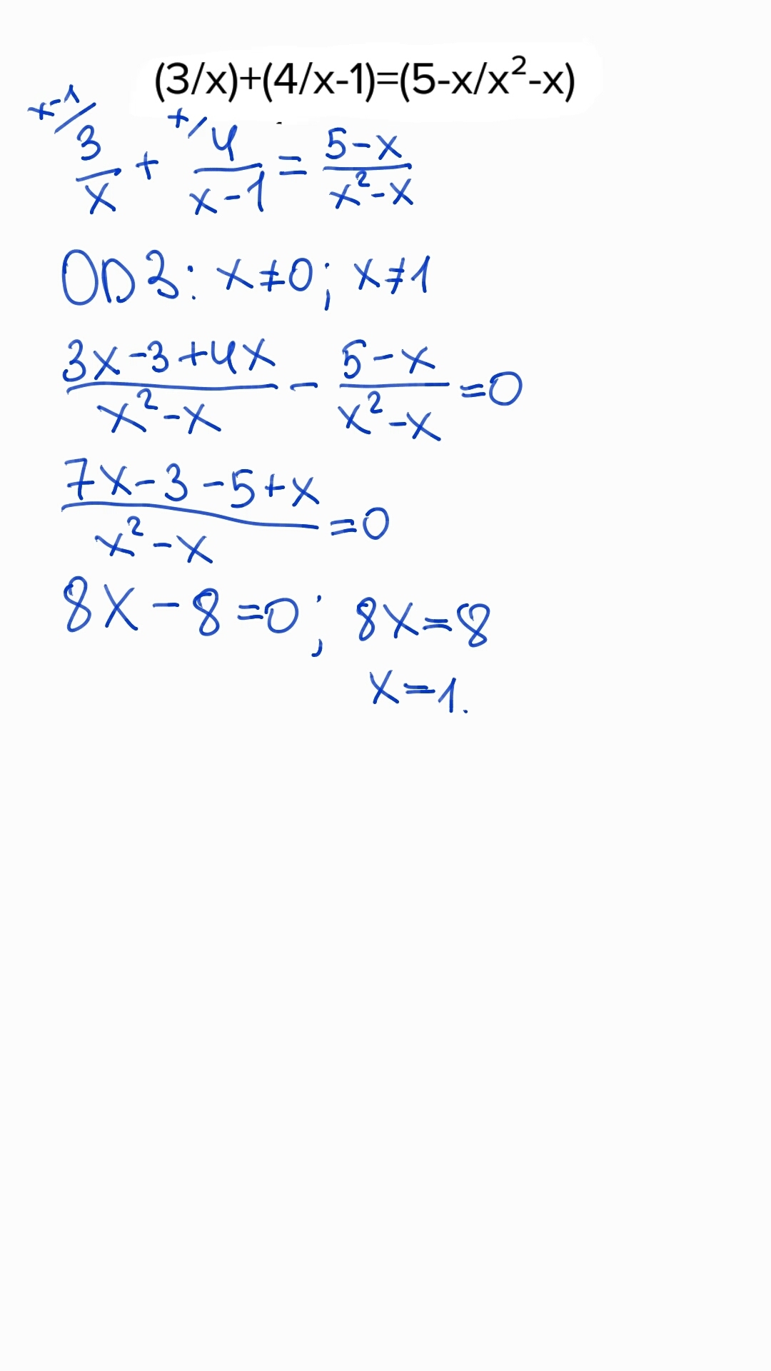
Вроде все правильно, но лучше проверить
Приложения:

Ответ дал:
0
Спасибо вам большое, можете ещё порешать из моего профиля :( ?
Вас заинтересует
2 года назад
2 года назад
3 года назад
9 лет назад
9 лет назад
10 лет назад