• Предмет: Математика
  • Автор: bhawk2017
  • Вопрос задан 9 лет назад

Срочно решите пожалуйста.
Желательно подробное решение.
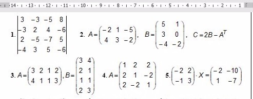
Задания и вопросы на фото.

Приложения:

Ответа на этот вопрос пока нет. Попробуйте найти его через форму поиска.

Вас заинтересует