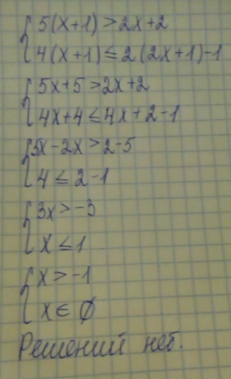
Решите систему неравенств:
5(х+1)-х > 2х+2
{
4(х+1)-2 < или = 2(2х+1)-1
варианты ответов а)(-1,5;0} б){0;1,5} в){-1,5;0} г)(2/3;0}
Ответы
Ответ дал:
0
Простите за качество, телефон лагает:)
Приложения:

Вас заинтересует
3 года назад
9 лет назад
9 лет назад
10 лет назад