• Предмет: Алгебра
  • Автор: kiranovoselova
  • Вопрос задан 9 лет назад

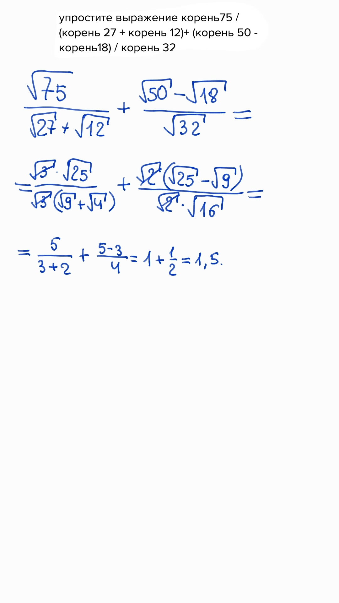
упростите выражение корень75 / (корень 27 + корень 12)+ (корень 50 - корень18) / корень 32

Ответы

Ответ дал: Kirik009
0
Вроде все правильно, но лучше проверить
Приложения:
Ответ дал: kiranovoselova
0
Спасибо
Вас заинтересует