Ответы
Ответ дал:
0
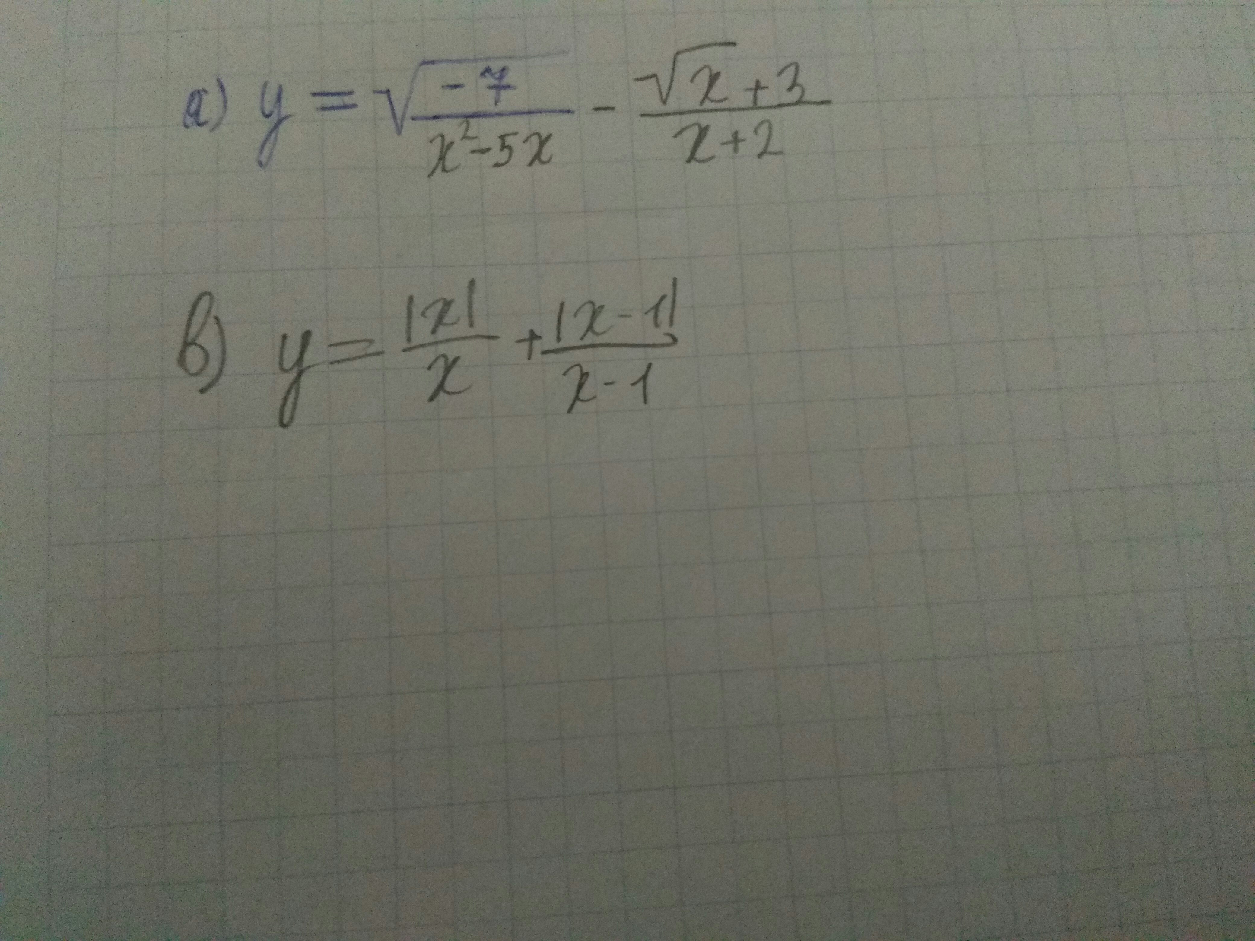
а) Подкоренное выражение - число неотрицательное, знаменатель не равен нулю. Решаем систему из неравенств:
-7/(x² - 5x) ≥ 0
x ≥ 0
x + 2 ≠ 0
7/(x² - 5x) ≤ 0
x ≥ 0
x ≠ -2
В первом неравенстве числитель не влияет на решение, поэтому опускаем его и меняем нестрогий знак на строгий:
x² - 5x < 0
x ≥ 0
x ≠ -2
x(x - 5) < 0
x ≥ 0
x ≠ -2
||||||||||||||||||||||||||||||||||||||||||||||||||
-----------(-2)------------------(0)----------------------------------(5)----------> x
|||||||||||||||||||||||||||||||||||||||||||||||||||||||||||||||||||||||
Пересечение неравенств является решением системы:
x ∈ (0; 5).
Ответ: D(y) = (0; 5).
в) y = |x|/x + |x - 1|/(x - 1)
Нули подмодульных выражений:
x = 0; x = 1
x - + +
----------------------[0]---------------------[1]---------------------------> x
x - 1 - - +
1) x ∈ (-∞; 0]
y = -x/x - (x - 1)/(x - 1) = -1 - 1 = -2
2) x ∈ [0; 1]
y = x/x - (x - 1)/(x - 1) = 1 - 1 = 0
3) x ∈ [1; +∞)
y = x/x + (x - 1)/(x - 1) = 1 + 1 = 2
Ответ: E(y) = {-2; 0; 2}
-7/(x² - 5x) ≥ 0
x ≥ 0
x + 2 ≠ 0
7/(x² - 5x) ≤ 0
x ≥ 0
x ≠ -2
В первом неравенстве числитель не влияет на решение, поэтому опускаем его и меняем нестрогий знак на строгий:
x² - 5x < 0
x ≥ 0
x ≠ -2
x(x - 5) < 0
x ≥ 0
x ≠ -2
||||||||||||||||||||||||||||||||||||||||||||||||||
-----------(-2)------------------(0)----------------------------------(5)----------> x
|||||||||||||||||||||||||||||||||||||||||||||||||||||||||||||||||||||||
Пересечение неравенств является решением системы:
x ∈ (0; 5).
Ответ: D(y) = (0; 5).
в) y = |x|/x + |x - 1|/(x - 1)
Нули подмодульных выражений:
x = 0; x = 1
x - + +
----------------------[0]---------------------[1]---------------------------> x
x - 1 - - +
1) x ∈ (-∞; 0]
y = -x/x - (x - 1)/(x - 1) = -1 - 1 = -2
2) x ∈ [0; 1]
y = x/x - (x - 1)/(x - 1) = 1 - 1 = 0
3) x ∈ [1; +∞)
y = x/x + (x - 1)/(x - 1) = 1 + 1 = 2
Ответ: E(y) = {-2; 0; 2}
Вас заинтересует
2 года назад
3 года назад
3 года назад
9 лет назад
10 лет назад
10 лет назад