• Предмет: Алгебра
  • Автор: Аноним
  • Вопрос задан 9 лет назад

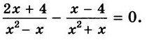
Решите уравнение, пожалуйста

Приложения:

Ответы

Ответ дал: Süvari
0
**********\mathtt{dfrac{2x+4}{x(x-1)}=dfrac{x-4}{x(x+1)}}\mathttdfrac{2x+4}{(x-1)}=dfrac{x-4}{(x+1)}}\mathtt{(2x+4).(x+1)=(x-1).(x-4)}\mathtt{2x^2+6x+4=x^2-5x+4}\mathtt{x^2-11x=0}\mathtt{x=11}\mathtt{x=0}\**********\mathtt{textsf{Bac{s}ari lar}}
Вас заинтересует