• Предмет: Алгебра
  • Автор: VIRUS00000
  • Вопрос задан 9 лет назад

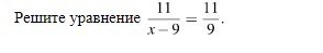
решите уравнение плиззззззззззззззз

Приложения:

Ответы

Ответ дал: ksenia123ilina
0
x не должен равняться 9
x-9=9
x=18
Вас заинтересует