Ответы
Ответ дал:
0
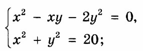
Из второго уравнения у² = 20 - х² и у = √(20 - х²).
Подставим в первое уравнение.
х² - х√(20 - х²) - 2(20 - х²) = 0.
х² - х√(20 - х²) - 40 + 2х² = 0.
3х² - 40 = х√(20 - х²).
Возведём обе части в квадрат.
9х⁴ - 240х² + 1600 = 20х² - х⁴.
10х⁴ - 260х² + 1600 = 0.
Сократим на 10 и введём замену: х² = t.
Получим квадратное уравнение.
t² - 26t + 160 = 0.
Квадратное уравнение, решаем относительно t: Ищем дискриминант:
D=(-26)^2-4*1*160=676-4*160=676-640=36;Дискриминант больше 0, уравнение имеет 2 корня:
t₁=(√36-(-26))/(2*1)=(6-(-26))/2=(6+26)/2=32/2=16;t₂=(-√36-(-26))/(2*1)=(-6-(-26))/2=(-6+26)/2=20/2=10.
Обратная замена: х = √t.
x1.2 = +-4.
[3.4 = +-√10.
y1,2 = +-2,
y3,4 = -+√10.
Ответ: х = 4, у = 2,
х = -4, у = -2,
х = √10, у = -√10,
х = -√10, у = √10.
Подставим в первое уравнение.
х² - х√(20 - х²) - 2(20 - х²) = 0.
х² - х√(20 - х²) - 40 + 2х² = 0.
3х² - 40 = х√(20 - х²).
Возведём обе части в квадрат.
9х⁴ - 240х² + 1600 = 20х² - х⁴.
10х⁴ - 260х² + 1600 = 0.
Сократим на 10 и введём замену: х² = t.
Получим квадратное уравнение.
t² - 26t + 160 = 0.
Квадратное уравнение, решаем относительно t: Ищем дискриминант:
D=(-26)^2-4*1*160=676-4*160=676-640=36;Дискриминант больше 0, уравнение имеет 2 корня:
t₁=(√36-(-26))/(2*1)=(6-(-26))/2=(6+26)/2=32/2=16;t₂=(-√36-(-26))/(2*1)=(-6-(-26))/2=(-6+26)/2=20/2=10.
Обратная замена: х = √t.
x1.2 = +-4.
[3.4 = +-√10.
y1,2 = +-2,
y3,4 = -+√10.
Ответ: х = 4, у = 2,
х = -4, у = -2,
х = √10, у = -√10,
х = -√10, у = √10.
Вас заинтересует
2 года назад
2 года назад
3 года назад
3 года назад
10 лет назад
10 лет назад
10 лет назад