• Предмет: Математика
  • Автор: Fenixty13
  • Вопрос задан 9 лет назад

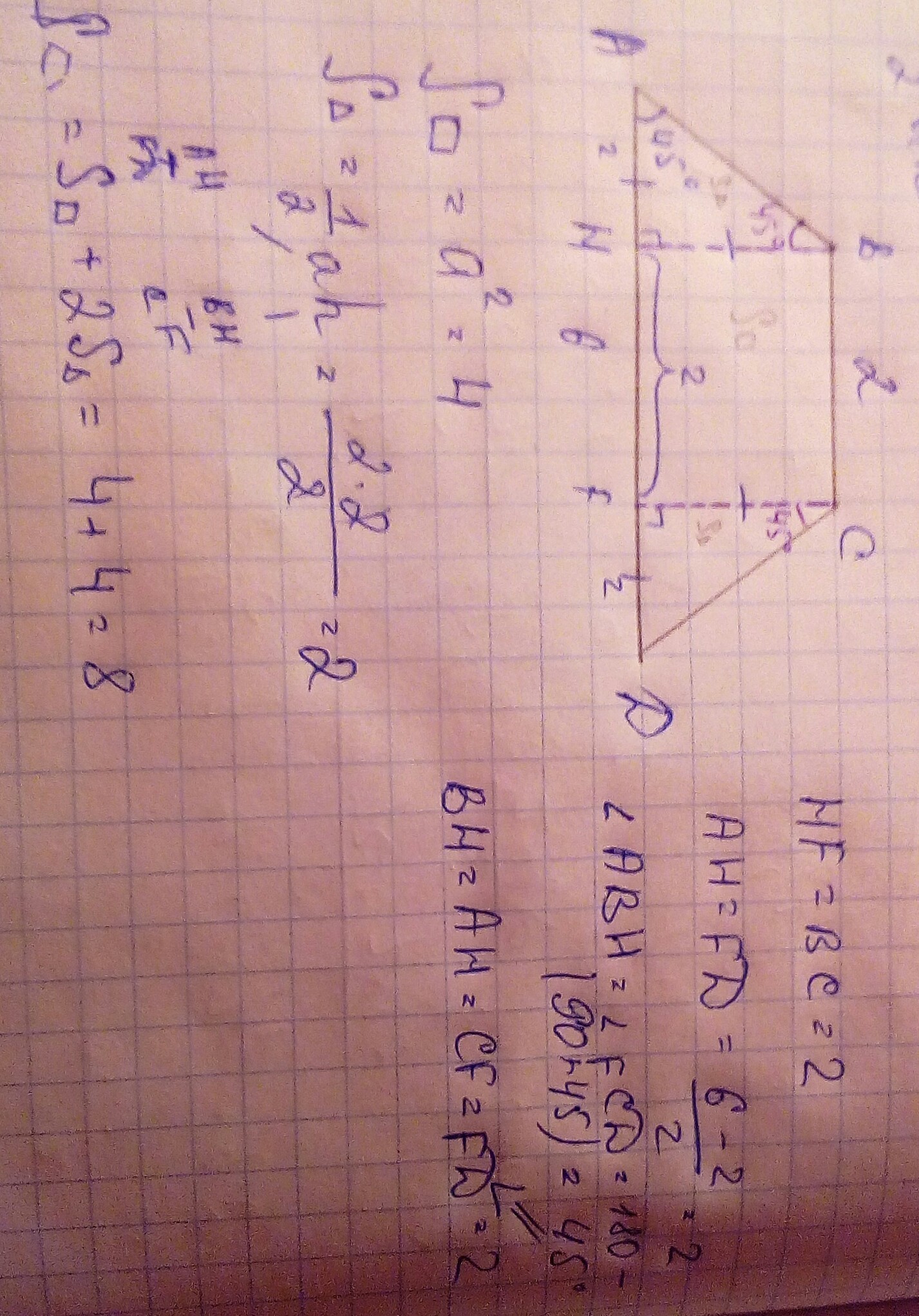
напишите пожалуйста подробно

Приложения:

Ответы

Ответ дал: Твойумныйдруг
0
Трапецию необходимо разделить на квадрат и два треугольника, посчитать их площади, а далее сложить их.
Приложения:
Вас заинтересует